Parkinson’s Law 帕金森定律
Any task will inflate until all of the available time is spent.時間越充裕,效率可能越低。
Takeaways 要點
- 把任務控制在合理的時間範圍內完成。
- 如果能比預期更快地完成任務,使用者會更滿意。
- 使用自動填充等便捷功能來節省時間,比如在網上購物或預訂時快速填寫表單,避免浪費時間。
Origins 起源
塞里爾·諾斯科特·帕金森在1955年發表於《經濟學人》的一篇幽默文章中首次提出這一觀點,該文章後來在網上重新發表,並與其他文章一起收錄在《帕金森定律:進步的追求》(倫敦,約翰·默裡出版社,1958年)一書中。他的這一論斷來源於他在英國公務員系統中的豐富經驗。
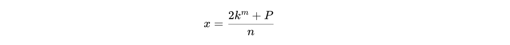
帕金森提出了一個數學模型,用來描述官僚機構(bureaucracies)如何隨時間擴張:

- x:每年需要新僱用的員工數量(反映機構增長速度)
- k:希望透過招新人來獲得晉升的員工數(即想當“上司”的人)
- m:每人用於撰寫內部公文(如備忘錄)的工作小時數(代表“內耗”)
- P:僱傭年齡與退休年齡的差值(即一個員工的服務年限)
- n:真正完成的行政工作數量(即實際有意義的產出)
通俗易懂的理解:官僚體系的擴張,與實際工作需求無關,而是由人的野心和低效溝通所驅動。為了晉升,員工傾向於招募下屬;寫報告、寫公文花費了大量時間,而這些並不直接帶來實際成果;即使工作量沒增加,官僚系統也會因內部結構和動機膨脹人員規模
Parkinson’s Law in UX Design 帕金森定律 使用者體驗設計中的帕金森定律
當一個設計師面對較大的螢幕或更多頁面空間時,往往會不自覺地往介面中塞入更多元素、功能或資訊。這種“填滿空間”的傾向,容易導致介面雜亂、資訊過載,反而妨礙了使用者的使用體驗。

Optimizing Task Completion Time 最佳化任務完成時間
透過良好設計減少使用者完成任務所需的時間,線上支付系統中新增進度指示器,鼓勵使用者快速完成支付流程。
- 設定互動時限(如:自動儲存、會話超時);
- 提供實時反饋,幫助使用者快速做出決策;
- 減少無必要的操作步驟。
Improving the Onboarding Experience 簡化引導流程
引導流程太長會讓使用者流失。Trello 的快速引導方式讓使用者能立即上手並體驗核心功能。
- 用微互動逐步引入功能;
- 限制引導步驟數量,減少使用者認知負擔;
- 鼓勵使用者立即行動,如快速建立賬戶。
Promoting Efficient Content Consumption 提高內容消費效率
數字使用者的注意力極其有限,Google搜尋結果的佈局設計有助於使用者在幾秒鐘內獲得關鍵資訊。
- 使用清晰可掃讀的文字結構(如:小段落、標題、列表);
- 實施“逐步揭示”策略,僅在需要時展示資訊;
- 最佳化頁面載入速度,避免使用者因等待而流失。
Improving Team Productivity 提升設計團隊效率
- 設定“緊湊而合理”的迭代時間;
- 使用敏捷方法將任務拆解為小塊(Sprint);
- 倡導專注工作時間避免專案拖沓。
